みなさん、こんにちは。こんばんは。やのです。
この2月はどうなってしまったのでしょうね?
昨日の陽気とうって変わり、今日の寒さ。冬に逆戻りです。まったくねぇ・・・と愚痴をこぼしていても仕方がないのです。
本日はなんと、午前中からブログの更新作業をしていますw
なぜかって?それは・・・ナイショ(ただ午後は忙しいだけです)
この解説で小学生が理解できるか?


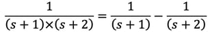
分数の差を通分しただけです。この逆を考えると次の式になります。

これが一番簡単な部分分数分解です。分数の積を分数の差に変換するのです。
ただしこの式が理解できるのは・・・中学生以上ということでしょうか(汗)
では、小学生はどのように理解するのかというと、「面積図」の登場です!
続きは、明日。お楽しみに。(マダトカナイノ?というツッコミは待ってくださいねw)
追伸
Googleマップさんのクチコミはこちらから投稿できます。よろしくお願いします。