みなさん、こんにちは。こんばんは。やのです。
本日は、授業前に新小5の生徒が質問に来てくれました!
いいぞ〜その調子だぞ〜
体が空いている限り勉強のお手伝いをしますよ!
キセル算シリーズはここまでになります
閑話休題
問題を再掲いたします。
ーーーーーーーーーーーーーーーーーーー
問)次の計算をしなさい

(昭和学院中)
ーーーーーーーーーーーーーーーーーーー
それでは解説です。
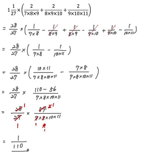
この問題の場合次のような部分分数分解をします。

上式の右辺を通分して左辺の式になることを確認してください。
分母の積を残すことがポイントです。
解答
途中式が長くなりますが、みなさんついてきてくださいね!

いかがだったでしょうか?
キセル算だ!と飛びついてしまってはミスしてしまう問題もあることがわかっていただけたかと思います。
長かったキセル算シリーズはここまでにします。お付き合いくださいましてありがとうございました。
また明日です。
追伸
Googleマップさんのクチコミはこちらから投稿できます。よろしくお願いします。